これは完全にメモ。
なぜだか知らないがmatplotlibバージョン3.2.1時点ではfig.tight_layout()したときにfig.suptitle()で付与した上部のタイトルテキストが考慮されずに残念なことになってしまう。
Stein's unbiased risk estimator略してSUREという枠組みについてメモしておく。
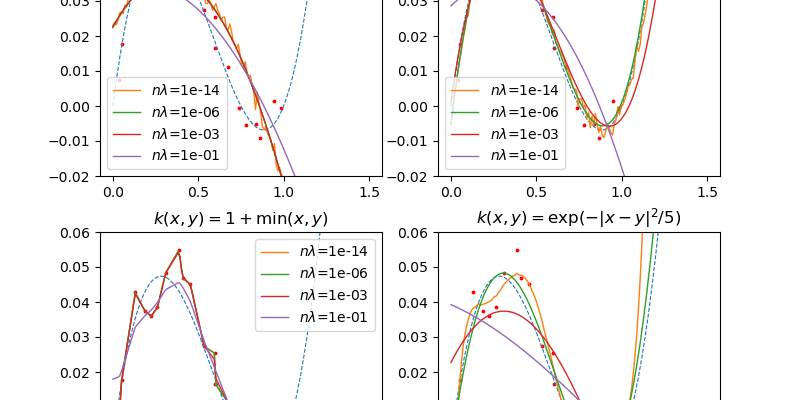
カーネルリッジ回帰の数式的な説明とその実装例について
これは完全にメモ。
なぜだか知らないがmatplotlibバージョン3.2.1時点ではfig.tight_layout()したときにfig.suptitle()で付与した上部のタイトルテキストが考慮されずに残念なことになってしまう。
Stein's unbiased risk estimator略してSUREという枠組みについてメモしておく。
カーネルリッジ回帰の数式的な説明とその実装例について